Skip to main content

Search: #暴论

游戏文化浓度也许很高的微型博客,还有审查观察和浅显的科普杂谈。曾经每日 7:30 准时更新。明明很向往自由,却有着严格约束,和奇怪规则的频道。

由 gledos Lia green 创作的内容,如果没有另外声明,均为 CC-BY 4.0 许可协议。

Lia 无法保证内容正确,但会一直尝试追逐正确。

如要评论,需先加入 @gledos_science_rebirth 群组,直接在评论里点击加入,是看不到验证码的。

管理员: @gledos_green
  1. 从预测地震违法,到言论自由的边界

    2013年4月1日,有人发布了「专家预测,4月2日 多地会发生 3.6 级地震」的流言。之后被以《治安处罚法》,处罚 500 元罚款的处罚。

    稍后,名为「预报中心」的新浪微博博主,准确预测了 4月17日 的地震。不过云南省地震局新闻发言人,表示「个人或民间机构,对外发布地震预报信息都是违法行为。」以及中国地震台网中心首席预报员称「如果造成社会混乱,应该承担相应的法律责任。」

    不过《地震预报管理条例》仅对「制造地震谣言,扰乱社会正常秩序的」,有治安管理处罚。如果是第三方爱好者、研究者,没有假借专家的名字传播地震预报,应该就不是地震谣言了吧。

    假设有人传播假消息(亦或是笑话):「地震厅的首席专家表示,明天的的地震会污染地下水,导致井盐被污染。」因此有人去抢购盐,结果出现踩踏事故,有人死亡,那么该人否需要为此负责?

    这其实是关于言论自由边界的问题,如果按美利坚合众国的标准来看:比如「明显而即刻的危险」「真实恶意原则等规则,看起来都没有违反。但这毕竟是美国的规则,在法律上不适用,也不适应其他社会。

    比如浙江一些地方的小学,开设了中医药课程,教材叫做《中医药与健康》。如果因此有学生吃中药导致肝损伤,甚至耽误病情,那就不能以言论自由豁免了,因为教材选择、授课方式并不是个人来决定的,而政府不受言论自由保护。

    比如「奈特第一修正案研究所诉特朗普案」,特朗普在总统任期期间,拉黑了一些 Twitter 用户,这被认为是政府侵犯了公民参与公共讨论的权利,因此特朗普被告上法庭。所以美国政府对教育、媒体等宣传,需要足够小心。甚至害怕政府失去中立性,而设立了《信息与教育交流法案》,导致政府拨款,用作政治宣传的《美国之音》,无法在美国境内放送。

    所以被刻意选择的教材、授课方式,没有独立性的国立媒体,亦或是自愿成为传声筒的家伙,理应不享有言论自由。其他情况,只要没有违反「明显而即刻的危险」「真实恶意原则」等规则,就受言论自由保护。

    ggame | #暴论
  2. 在《堡垒之夜》里政治宣传与禁枪的总统候选人

    2024年10月28日,美国民主党总统候选人哈里斯的竞选团队,为竞选宣传而在《堡垒之夜》里创建了自由城。这是基于游戏里的岛屿模式,用户可以在遵守创作者规则的前提下,自由创建各种岛屿地图。

    但问题是这座自由城不好玩,在线玩家数量也很低。地图的大致玩法是:NPC 向玩家宣传有关减税、新建房屋,期间需要完成一些摩托车比赛、射箭和冲浪的迷你游戏。然后就没有了。

    并且《堡垒之夜》的主要玩法之一,枪支竟然没有出现在地图里。虽然也有一些跑酷、解谜等地图可以不加入枪支,但作为总统候选人的政治宣传地图,其中存在禁枪的态度,就已经让人深思了。

    这样的地图,对于之前披露了自己拥有枪支,但同时也说过要禁止攻击性武器的哈里斯来说,只会增加不被信任的烦恼,同时也有违反《堡垒之夜》岛屿创作者规则的风险。

    因为「创作者规则」的 4.3.5. 小节提到:「您的岛屿不得包含(a)《堡垒之夜》之外的行动号召」「(b)招揽加入、参与或向现实世界的宗教、政治组织或军事组织捐款」。

    所以其实开个 Minecraft 服务器,这样既能避开枪支问题,也不会有「创作者规则」的限制。亦或者不要涉足游戏,才是最好的方法吧。

    ggame | #游戏 #暴论
  3. Minecraft 的社区碎片化与统一 下篇

    新生物投票从 2017 年开始,让玩家用选票决定新添加生物。虽然对游戏的影响不大(甚至是负面影响,比如幻翼),但投票确实是增加合法性的好方法。只是后来因为 黑客操纵,所以 2024 年停止了投票。

    微软未能与 C418 达成协议,所以 C418 不再为 Minecraft 创作音乐,这是让微软丢失合法性的事。但微软有符合现在大多数人口味的音乐人 Lena Raine,其作品 othersideCreator 都受到了许多玩家的认可。

    关于 notch,在他将 Minecraft 卖给微软时,以 公开信 的形式,宣布将领导职务交给了 Jeb。但有部纪录片:Story of Mojang,其中介绍了 notch 开发 Minecraft 的许多事。某种程度上说,这就是为 notch 树立个人崇拜的宣传片。

    所以 notch 分走的合法性,微软暂时未能找到替代。但在 2024 年,Minecraft 宣布了 netflix 动画以及电影的预告。将 IP 扩展到其它载体上,也起到了巩固影响力的作用。

    综上所述,微软在应对游戏社区碎片化、分裂,还是做了许多应对措施,维持了合法性。但这次真人电影的质量,可能会左右 Minecraft 的未来。好在微软绝对不希望玩家讨厌这部电影,那就拭目以待吧。

    #minecraft #暴论
  4. 为什么网络支付杀死了纸币

    商铺为了应对使用大额纸币的顾客,往往会预备大量零钱。这些零钱来自银行的兑换零钱服务,商户需要前往银行兑换。但过程相对繁琐,通常需要 提前预约。如果要存大量零钱,可能还会被银行冠以「扰乱金融秩序」的罪名……

    普通人获取纸币的途径,主要是从 ATM 取工资。但是绝大多数 ATM 只能存取 100 元(少量可以),结果拿着 100 元纸币前往小商铺买瓶水,可能会被拒收,或者询问是否有零钱。那么消费者就更原意使用网络支付,商铺也不需要兑换太多零钱。

    附言:在欧美,能取 5、10、20 面额的 ATM 比较常见,日本也能取 1000 面额。这种细致会让 ATM 的运营成本增加,但也降低了用户的使用成本,所以这些地方的纸币还会继续流行吧。

    附言 2:还是 前天的主题,纸币的配套设施做的少,只是徒有其表的纸币。那么私营企业开发的替代纸币工具,就非常具有竞争力,杀死了纸币。

    参考了 崇子贡财取之有道 的知乎回答 | #杂谈 #暴论
  5. 好东西为什么不敢用

    在《好东西不敢用》文章里,提到了 邮资机 与支票便利的便利性,但在中国没有推广给个人使用,原因与当地缺乏信用文化有关。

    先介绍一下邮资机,这是一种邮票的替代工具。客户自己给邮件计价,然后以印章的形式,印在邮票的位置即可。早期的邮资机具有硬件计数器,额度用光后需要前往邮局重置计数器。资费 大概分为两个部分,邮资机租金与预付费额度。

    对于需要邮递大量信件、商品的公司来说,租用邮资机能节省大量时间。不过普通人用不上这个,所以原文的说法有些问题。不过邮资机确实有在国内使用,只不过被安装在邮局里,并且邮局的营业员 不愿使用它,因为麻烦……

    个人支票问题大概就更复杂了。2002年12月18日,北京才出现第一笔使用个人支票的进行交易,一年后办理个人支票业务的用户只有约 300 人,之后许多银行都停止了个人支票业务。不过主要责任应该还是在银行,因为办理个人支票业务需要 10 万元以上存款,并且月收入在 5000 元以上。北京青年报 还提到「我国的社会信用基础还比较薄弱」的原因。

    gledos 觉得文章《好东西不敢用》将原因弄错了,根本的问题应该出在专营上。过去邮政系统基本都是专营的,没有竞争,也就没有引进先进经验的动力,直到民营快递使用先进的管理和技术抢占了邮政市场。

    结果就都是草台班子,仅仅徒有其表。即使是城市的地下市政基础设施,也缺少完整地图,近年 专门使用专业的地下管线探测仪、地质雷达和地下三维空间扫描仪等设备,重新为此绘制地图。(怪不得施工经常挖断些管线,合着这是开盲盒吧)

    #暴论
  6. 意义党

    哔哩哔哩曾经流行过「意义党」,可能成为了某种梗。主要在一些不走寻常路的视频中,可能有人会问:「这有什么意义?」

    比如软驱音乐这种,音色连失真都谈不上,并且编写音乐需要特制的软件,绝对是没有实用性的玩具。但此时有人问:「这有什么意义?」就会让人摸不着头脑。

    可能有人进入讨论,告诉「意义党」这个技术的部分实用性,以及探索这项技术的乐趣。但「意义党」之所以被叫做「意义党」,就是无法接受他人的意义。

    也许在这些「意义党」看来,无法盈利的技术、过时的技术、一些图一乐的内容都是无意义的。而这是唯理性独尊的想法,并且轻视了他人的个人意志。

    其实对于宗教也是这样,「相信宗教的人都是笨蛋」也许有人会以这种态度看待宗教,然后轻视信众的个人意志。然而这种俯视对看待问题没有什么帮助,反而不利于交流。

    附言:软驱音乐是软盘驱动器被程序控制,发出各种不同频率的声音(噪音),所组成的音乐。比如经典的软驱音乐作品:The Floppotron: Believer

    #暴论
  7. 为什么黑帮不能管理高科技?

    2022 年,Kamil Galeev 在 X(推特)分享了一篇长文,内容是 俄罗斯联邦对技术进口的依赖原因

    介绍俄罗斯无法 100 % 完全自主生产拖拉机后,话题转到了墨西哥黑帮「卡特尔」控制的牛油果(鳄梨),卡特尔虽然被认为是黑帮,但他们看起来像是军队。

    作者引入了经济、政治学家 Mancur Olson 的国家起源理论:驻匪理论。驻匪理论的大意是「流匪」的收益较低,风险较大。所以一部分强盗决定驻扎在特定领土,使用税收获取收益,也就成为了「驻匪」。

    「驻匪」为了可持续性竭泽而渔,不被轻易的取代,就需要增加合法性。比如出让自己的一些利益,换取领土上居民的支持,以及降低血腥暴力程度。随着时间演变,逐渐就形成了现代意义上的国家。

    但为什么黑帮往往只能控制植物、矿物、娱乐等非高科技?作者引入了 创造性破坏理论 来解释。

    商业世界没有限制新产业的发展,所以财富不太可能长期掌握在同一个人或团体手中。(比如鼎鼎大名的通讯厂商诺基亚,因为没能抓住智能手机系统的机遇,败给了苹果和谷歌为首的智能手机系统。)

    黑帮如果要发展复杂的行业,那么就不得不招募「技术官僚」「白手套」等专业人士,利益、权利也会被分走一部分。如果黑帮能够容忍这种情况,那么黑帮也会逐渐脱离黑帮的范畴。反之打压新产业,防止创造性破坏的情况发生(防止利益、权利外流),这就是俄罗斯联邦无法发展顶尖科技的原因。

    附言:驻匪理论(Stationary bandit theory)非常年轻,发布时间是 2000 年,并且这还是一个不完整的理论,还有许多课题待研究。并且 国家起源理论 还有许多,也许这些理论同时存在于现实。

    #杂谈 #暴论
  8. 什么是人类

    新华字典将「人」释义为:「能制造工具改造自然并使用语言的高等动物」。不过现在看来非常不严谨,因为能做到这些的动物很多:

    + 制造工具:黑猩猩能使用木棍钓白蚁,而且木棍经过了简单的加工,刻意去除细枝和叶子
    + 改造自然:翻土的蚯蚓,建造水坝的河狸。
    + 使用语言:各种动物的求偶仪式就是最简单的语言,群居动物往往有警告鸣叫,同样也是语言。草原土拨鼠甚至能使用复杂的叫声来区分不同的捕食者。

    也许人外制造工具简单、改造自然较弱以及语言能力不足,但寻找到类似能力的人外应该不是什么难事,比如河狸基本符合上面的内容,能够制造水坝改造自然,也有一定程度的沟通能力。但是这下分不清人类与河狸了,不过还有其他的研究来认识什么是人类,那就是「合作」。

    罗伯特·阿克塞尔罗德在研究了各种博弈后,整理了 合作的进化,这个研究后来被做成了游戏《信任的进化》(信任的衍化)。

    而人类就是地球上合作程度最高的动物。如果破坏合作,可能会被限制自由甚至是处刑。而帮助他人会获得各种荣耀。信誉同样很重要,缺乏信誉会处处受到排斥,因为信誉低等同于合作关系不牢固。

    附言:曾经《现代汉语词典》把人定义为「能制造工具并使用工具进行劳动的高等动物」,没有提到语言,这说明定义已经修订过了。但这种修订显然没有触及本质。

    附言 2:自我意识曾经是一种定义人类的方法,不过在进行 镜子测试 后,人们发现许多人外都有自我意识,也就不怎么被主流科学研究提及了。

    附言 3:「人外」指人类以外(的动物)。

    附言 4:能发展更高科技,往往也就意味着合作程度更深,也就意味着更「文明」。为了确保合作的深入,就需要法制健全,惩罚破坏合作的个体,奖励合作的个体。

    附言 5:人类具有超过 邓巴数,创造更大的团体的能力。(老高与小茉的节目介绍过,不过视频内容已转为会员节目《【這個影片真的被封鎖了,重傳僅限會員】看來說到這都是不可以的》。之前的标题叫做《这个话题最多只能讲这么多,再多就要被下架了》。)

    #暴论 #杂谈 | 主要参考了苏房斋的视频《两万字爆肝干货:黑暗森林法则为什么是错的?
  9. 对可见光范围的一些思考

    现在打开维基,查看 可见光 条目时,会看到「界限没有明确定义」这样的内容(即使早期的 2004 年版本 也是如此)。这种说法对也不对。

    比如蔬菜、水果分类本来是比较明显的:蔬菜是叶与一部分茎,水果是果实。但在日常中比较模糊,二者的关税不同,结果明明是果实的西红柿,却在美国法律上被分类为蔬菜

    光线也有类似的情况,需要被定义范围。不然宣称防紫外线的防晒霜,可能只能防御 100~200 纳米的部分紫外线,对其他的紫外线无效,那么这对防晒的帮助不大。

    目前防晒霜常用标准有欧盟的 SPF,比如 SPF30 是指「可过滤约 97 % 的 UV-B」(UV-B 也许可以称作乙型紫外线),波长在 280~315 纳米。关于 UV-B 的定义文件,能找到 ISO 21348 标准

    具体来说,ISO 21348 将可见光定义为了 380~760 纳米,紫外线是 315~400 纳米,标准文件竟然直接表明紫外线可以被肉眼观测。

    根据一些 历史记录 来推测,这是历史遗留问题。早期科学家先将紫外线定义为了小于 400 纳米。因为「紫外线不可见」,于是可见光的范围大于 400 纳米,就成了一段时间里的「正确」知识。

    #杂谈 #暴论
  10. 对听力范围的一些思考

    「20 Hz ~ 20000 Hz 频率声音,是人类的听力范围」,许多关于声学的资料都这么说。但是这句话还缺少范围,比如根据某项统计,推测 99.9 % 人类的听力范围是 20 Hz ~ 20000 Hz。

    范围之外频率的声音,往往被称作次声波和超声波。这与可见光之外的紫外线、红外线概念相似。但这条线究竟画在什么地方好?如果按照上面的 99.9 % 来画,是否可以说存在 0.1 % 的人能听到次声波、超声波?

    LISNR 是一家使用声波传输数据的公司,比如「声波支付」,优点是不需要请求敏感的权限,只要能能让手机发声,就能交易。LISNR 使用了 18-19.2 kHz 的声音(近超声,Near ultrasound),LISNR 对此给出的原因是极少数人类才能听到。那么究竟有多少人听得到这部分声音?

    (曾经支付宝也支持声波支付,不过 有用户会被噪音打扰,很难受)

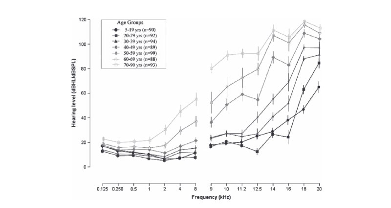
    封面图是 一个研究关于人类超高频听力的研究。此研究统计了 645 个不同年龄段的健康人类,然后得到了这个图表。看起来还没有到达测试的极限。

    但大多相关研究,都将 20000 Hz 视为了某种理所当然的人类极限,不考虑究竟有多少人能听到超声波。只有很少有人研究高于 20 kHz 的声音,并且大多数「超声波听力」的研究者都是日本名字。

    「频率高于 20000 Hz 的声音是超声波,人类无法听到超声波。」这样广泛传播的「答案」,却成为了 思考的盲点,所以需要时刻审视身边的理所当然。

    #杂谈 #暴论