Skip to main content

gledos Lia green 的微型博客

游戏文化浓度也许很高的微型博客,还有审查观察和浅显的科普杂谈。曾经每日 7:30 准时更新。明明很向往自由,却有着严格约束,和奇怪规则的频道。

由 gledos Lia green 创作的内容,如果没有另外声明,均为 CC-BY 4.0 许可协议。

Lia 无法保证内容正确,但会一直尝试追逐正确。

如要评论,需先加入 @gledos_science_rebirth 群组,直接在评论里点击加入,是看不到验证码的。

管理员: @gledos_green
  1. 对听力范围的一些思考

    「20 Hz ~ 20000 Hz 频率声音,是人类的听力范围」,许多关于声学的资料都这么说。但是这句话还缺少范围,比如根据某项统计,推测 99.9 % 人类的听力范围是 20 Hz ~ 20000 Hz。

    范围之外频率的声音,往往被称作次声波和超声波。这与可见光之外的紫外线、红外线概念相似。但这条线究竟画在什么地方好?如果按照上面的 99.9 % 来画,是否可以说存在 0.1 % 的人能听到次声波、超声波?

    LISNR 是一家使用声波传输数据的公司,比如「声波支付」,优点是不需要请求敏感的权限,只要能能让手机发声,就能交易。LISNR 使用了 18-19.2 kHz 的声音(近超声,Near ultrasound),LISNR 对此给出的原因是极少数人类才能听到。那么究竟有多少人听得到这部分声音?

    (曾经支付宝也支持声波支付,不过 有用户会被噪音打扰,很难受)

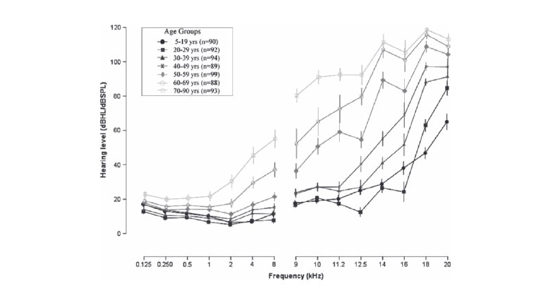
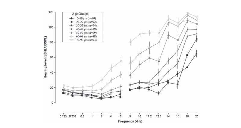
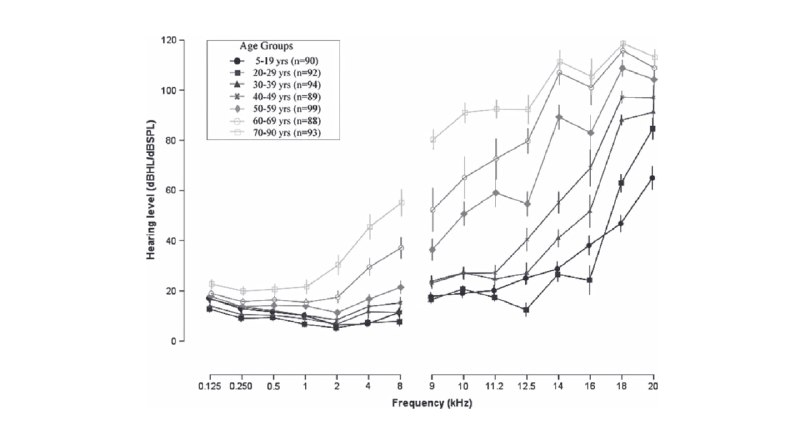
    封面图是 一个研究关于人类超高频听力的研究。此研究统计了 645 个不同年龄段的健康人类,然后得到了这个图表。看起来还没有到达测试的极限。

    但大多相关研究,都将 20000 Hz 视为了某种理所当然的人类极限,不考虑究竟有多少人能听到超声波。只有很少有人研究高于 20 kHz 的声音,并且大多数「超声波听力」的研究者都是日本名字。

    「频率高于 20000 Hz 的声音是超声波,人类无法听到超声波。」这样广泛传播的「答案」,却成为了 思考的盲点,所以需要时刻审视身边的理所当然。

    #杂谈 #暴论
  2. 卡带侧面的凹槽

    如果观察 Micro SD 卡的侧面,就会发现明显的凹槽。这是读卡器为了锁住记忆卡,所特意设计的。

    封面视频是 SailCG 制作的动画演示,可以看到插入记忆卡有段落感,取出时还需要再推一下。这种机制似乎被称作「推推」机制(push-push)。

    也有不使用「推推」机制的读卡器,插入记忆卡没有段落感,拔的时候直接向外拉就好。

    除了 Micro SD,还有许多记忆卡的侧面也有凹槽,比如 DS、Switch 的卡带,这样的好处是不像之前 GB、N64 卡带一样,露在外面一截。

    不过现在适配记忆卡的设备越来越少,一些新玩家不了解插卡方法,结果硬拔 Switch 卡带……

    #原理
  3. 言论自由旗帜生成器

    言论自由之旗很有趣,任何不是太长的十六进制内容都能用来生成,这个概念有些类似于 让哈希易读 的 randomart 类软件。不过因为颜色少量变化不会被人察觉到,所以会遇到碰撞攻击,不能作为校验工具。

    gledos 基于言论自由旗帜的规则,使用 GPT 编写了言论自由旗帜生成器(网页工具),名为 hex2flag,演示效果就像封面视频一样。

    附言:正方形的 avatar 是头像,也许能作为社交媒体头像使用,比如用 PGP 或者其他内容来生成。

    在线使用 | 源码仓库 | #工具
  4. 言论自由之旗

    2007年,HD DVD 的加密密钥被公布到网络。有了这个密钥,就能绕过 DRM,直接复制 HD DVD 里的内容。HD DVD 的 DRM 是 AACS(包含迪士尼、英特尔、微软、索尼等大公司联盟开发的技术),所以这些大厂对此非常头疼,于是发布 DMCA 到各个平台,要求停止公开密钥。

    2007年5月1日,Digg 社交平台也因为 DMCA,开始针对密钥传播删贴、删号。不过可能是因为某些逆反心理,就像现在 变着花样直播《彩虹六号:围攻》一样,当时的人们不断使用创造性的方法来伪装密钥。

    其中就出现了使用十六进制数字的 RGB 制作的旗帜,将密钥 09F911029D74E35BD84156C5635688C0 改写为 #09F911 #029D74 #E35BD8 #4156C5 #635688 +C0,然后就组成了封面的 言论自由之旗

    PlayStation 3 的密钥 被公布时,也有人用了言论自由之旗的编码,制作了类似的旗帜。

    (不过旗帜经过 Telegram 的压缩,颜色可能不准确了……)

    #Wikipedia
  5. 成都生态公园现状

    2024年1月1日,gledos 来到成都天府蜀绣艺术馆附近的蜀绣公园扩建的部分(大概是)。这里曾经应该是天府绿道的生态公园一部分,不过因为「退绿还耕」等原因(绿化),这部分公园迟迟没有开放。反而将部分土地用来种植,距离公路太远的土地几乎就被荒废了……

    图片 1:Google 地球的蜀绣公园卫星图(30°46'11"N 103°59'51"E)。
    图片 2、3:蜀绣公园内,远处的建筑,就是卫星图顶部的大型建筑。
    图片 4、5、6:近距离观察这个大型建筑。
    图片 7:建筑物的一部分。
    图片 8:公园附近的绿道标识。

    (忘记拍摄农田了)
  6. 一图一世界

    一张图片能呈现静态或动态的画面,除此之外还有文件名,还有可能存在 EXIF 元数据。不过图片能够承载的内容还可以更多。

    比如有一种隐写术,是将压缩文件藏到 JPEG 格式的图片数据之后,这样能绕过一些限制附件格式的论坛。原理是软件会忽略不需要的内容。(如果是为了藏 BitTorrent,那么往往被称作 图种。)

    不过现在大多数平台都会二次压缩图片,可能会删除掉「无效数据」。于是 有人 将压缩包藏到 ICC 配置文件中,这样就不会被一些压缩机制删除。(不过很快许多平台都修复了这个特性)

    PICO-8 是幻想游戏机,普通的游戏文件格式不够幻想。于是开发者用上了隐写术,将游戏数据放进图片。于是游戏「卡带」图片就真的可以直接运行了。原理是颜色编码,扩展名是 .p8.png

    #杂谈
  7. 一家大数据营销平台的宣传内容

    封面图 是一家大数据营销平台,在 2018 年的宣传内容,不过他们拥有的数据有些太全面了。

    1. 姓名、手机号码、位置、年龄、性别、高净值等。这些内容被泄漏干净,应该是大多数人早已知晓的。
    2. 浏览过某个网址。这应该是运营商能收集的信息,即使是 HTTPS,也能通过 SNI 或者 DNS 查询记录,就能搜集到。
    3. 同行 400 电话的通话记录。大概只有运营商能泄漏这个记录。
    4. App 使用情况,比如流量大于 100 MB 的消消乐用户。同上,大概只有运营商能泄漏这个记录。
    5. 用户搜索记录。考虑到百度是在 2018 年 还没有强制跳转到 HTTPS,那么运营商取得搜索记录应该没问题。(「能观测就能干涉,能干涉就能控制。」甚至 有运营商偷腾讯会员密码
    6. 接收过特定商业短信通知的用户,比如验证码的发送记录。也许对于运营商而言,个人之间的通讯是机密,但商业短信就不是了……

    然而,需要明确该宣传内容是 2018 年的,之后随着技术升级和法规完善,可能其中一些手段已经失效。最后,需要指出右上角的联通标志应该是该营销平台自行添加的,这不是联通自己做的 PPT 宣传材料。

    #杂谈